1. 解答
入試問題は各自で入手すること。答えのみ(証明は略)。
【問題1】4項間漸化式・固有値方程式
3次の正方行列の中に0が複数ある場合、行列式を求めるときはサラスの法則を使う。あるいは余因子展開を行う。

det
として、固有値
を得る。固有値が間違っていないかの検算は下の関係を使うと良い。確かに
となっている。
次の正方行列Aとその
個の固有値に対して、

(i)
のとき

固有ベクトルを探す。つまり、

を満たす
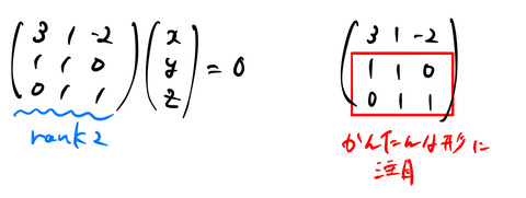
rank2であるので、たとえば1行目は(2行目)
3-(3行目)
2で作られる。だから、赤色の部分の連立方程式を解けば良い。未知数3(
)に対して、行列のrankは2なので、解の自由度は1である。念の為、連立方程式を書いておく。

この解の1つを見つければよい。つまり、後のために簡単な解

固有ベクトルの向きは(1,-1,1)方向である。解の自由度1であるのでベクトルの大きさ
は任意である。問題に指定がなければ、
の任意性があるので計算が簡単になる固有ベクトルを選べる。規格化された固有ベクトルを求める場合は
とする。
(ii)
のとき

固有ベクトルを探す。2行目、3行目の簡単な形に着目すると解の1つは容易に、(1,1,1)とわかる。それを規格化して、
に対する固有ベクトルは、

となる。
(iii)
のとき

固有ベクトルを探す。2行目、3行目(or 1行目)の簡単な形に着目すると解の1つは容易に、(4,2,1)とわかる。それを規格化して、
に対する固有ベクトルは、

となる。
行列Aの対角化
上で得られた3つの固有ベクトルを並べて、

を作る。
の逆行列
は基本行列変形
(掃き出し法)により求める。最終結果は、

なので、

である。(
のチェックを忘れずに。)Bを用いて、
の対角化は

のようになる。
固有値
の順番に固有ベクトルを並べて行列
を作ったので、
の対角化により対角要素は固有値
の順番に並ぶ。
4項間漸化式を行列で表す。

と置くと、行列
を用いて与えられた漸化式は、

となる。左から
をかけて、

となる。ここで、

である。行列
は対角行列であるので、

である。式(1.1)より、

となる。左辺の
を消すために、左から
をかけて、
![]()
を得る。
を計算する。

使うのは3行目だけなので、その成分を示した。式(1.3)より、

となる。よって求める一般項
(
は0以上の整数)は、
![Rendered by QuickLaTeX.com \begin{eqnarray*} a_n &=&\frac{1}{6}\left[(-1)^n-3+2^{n+1} \right]\cdot 6\\ &+&\frac{1}{6}\left[-3\cdot (-1)^n+3 \right]\cdot 4\\ &+&\frac{1}{6}\left[2\cdot (-1)^n + 3 \cdot 2^{n+1}\right]\cdot 3 \\ \\ &=&\frac{1}{6}\left[12+3\cdot 2^{n+1} \right] \\ \\ \therefore \quad a_n &=&2+2^n\end{eqnarray*}](https://batapara.com/wp-content/ql-cache/quicklatex.com-87019e54b4a43cb1b15d36b99c8aa7a9_l3.png)
確かに、
、
、
となる。
補足:行列を利用しない方法:題意に沿わないが一般項は容易に求められる。
![]()
について
と置いて、

となる。よって、

のように一般項が求められる。この問題ような特殊な4項間漸化式については、うまく変形できれば容易に一般解が求められる。
【問題2】回転体の体積・表面積
(1) まず変数分離型の微分方程式を解く。
を定数として、

を代入すると、
が求まる。
のとき、![]()
求める円の方程式は、
![]()
であり、中心 (0,4)で半径2の円である(図は略)。
(2) 与えられた式に
を代入する。
での微分係数を、
と書く。

したがって、与えられた点の接線の方程式は、

である。
(3) (4) トーラスの体積・表面積の計算はパップス=ギュルダンの定理を使うと求められる。
【問題3】フーリエ変換・δ関数
(1)
をフーリエ変換する。

第一項:
![Rendered by QuickLaTeX.com \begin{eqnarray*}\frac{1}{a}\int_{-a}^{a} e^{-i\omega t}dt&=&\left[ \frac{1}{-i\omega} e^{-i\omega t} \right]_{-a}^{a}\\&=& \frac{1}{a}\frac{i}{\omega}\left( e^{-i\omega a}-e^{i\omega a}\right)\\&=& \frac{2}{\omega a}{\rm sin}\left( \omega a \right)\end{eqnarray*}](https://batapara.com/wp-content/ql-cache/quicklatex.com-04c270dea0d8b2f35b2cc701dccd1ccb_l3.png)
第二項:
![Rendered by QuickLaTeX.com \begin{eqnarray*}&&\frac{1}{a^2}\int_{-a}^{0} t e^{-i\omega t}dt - \frac{1}{a^2}\int_{0}^{a} t e^{-i\omega t}dt \\&=&\frac{1}{a^2}\int_{a}^{0} (-t') e^{i\omega t'}(-dt') -\frac{1}{a^2}\int_{0}^{a} t e^{-i\omega t}dt \quad (\because t=-t') \\ &=&-\frac{1}{a^2}\int_{0}^{a} t' e^{i\omega t'}dt' -\frac{1}{a^2} \int_{0}^{a} t e^{-i\omega t}dt \\ &=&-\frac{1}{a^2}\int_{0}^{a} t\left(e^{i\omega t} + e^{-i\omega t} \right) dt\\ &=& -\frac{2}{a^2}\int_{0}^{a} t{\rm cos}(\omega t)dt \\ &=&-\frac{2}{a^2} \left[ \frac{t}{\omega} {\rm sin}(\omega t) + \frac{1}{\omega} {\rm cos}(\omega t)\right]_0^{a} \\&=&-\frac{2}{\omega a}{\rm sin}(\omega a) - \frac{2}{\omega a^2}{\rm cos}(\omega a) + \frac{2}{\omega a^2}\end{eqnarray*}](https://batapara.com/wp-content/ql-cache/quicklatex.com-db1bf88d3d1db20b5ed6e65d8b4ca76f_l3.png)
以上より、

この関数は、回折で現れる1次元のラウエ関数と同じ形をしている。
(2)
の極限を取る
のとき、
![]()
のとき、
の定義より、
![]()
よって、
![]()
である。また、
軸と
で囲まれる三角形の面積は、
![]()
であるので、
![]()
(3) 複素フーリエ係数を求める。
の区間をフーリエ変換すれば良い。


から、

となる。
(4)
の両辺をフーリエ変換する。
![Rendered by QuickLaTeX.com \begin{eqnarray*}H_s(\omega)&=&\int_{-\infty}^{\infty} T_0 h(t) P(t) \exp{(-i\omega t)}\,dt\\&=&T_0 \int_{-\infty}^{\infty} h(t) \left[ \frac{1}{T_0} \sum_{n=-\infty}^{\infty}\exp{\left( i\frac{2\pi}{T_0} nt \right)}\right] \exp{(-i\omega t)} \,dt\\&=&\sum_{n=-\infty}^{\infty}\int_{-\infty}^{\infty} h(t)\exp{\left( i\frac{2\pi}{T_0} nt \right)}\exp{(-i\omega t)}\,dt \\&=&\sum_{n=-\infty}^{\infty}\int_{-\infty}^{\infty} h(t)\exp{\left( -i\left(\omega-\frac{2\pi}{T_0} n\right)t \right)} \,dt\\&=&\sum_{n=-\infty}^{\infty}\int_{-\infty}^{\infty} h(t)\exp{\left( -i\omega_n t \right)} \,dt \quad \left(\omega_n=\omega-\frac{2\pi}{T_0} n\right)\\&=&\sum_{n=-\infty}^{\infty}H(\omega_n)\\&=&\sum_{n=-\infty}^{\infty}H\left(\omega-\frac{2\pi}{T_0} n\right)\end{eqnarray*}](https://batapara.com/wp-content/ql-cache/quicklatex.com-1616b7f83f0a5e9c2ae1d113660cc8e8_l3.png)
証明おわり ![]()
おまけ:上のようなサンプリングは、アナログデータ
の値を
ごとに取り出すことに対応する。つまり、フーリエ変換によってデジタルデータに変換される。情報としてデジタルデータを受け取った側は、逆フーリエ変換すれば(ほとんど)元のデータを復元することができる。

【問題4】複素平面・複素積分
(1) 絵を描いて調べる。
図より
の解は以下の通り4個ある。

複合は任意である。
丁寧に解くなら、
を極形式にして解く。


複素平面における
を含む方程式は絵を描くとわかりやすい。
(2)
に置き換えて複素積分を利用する。
被積分関数は偶関数であるから積分区間を
とした積分を計算する。
![]()
複素積分へと拡張する。積分区間は図の通り。
は(1)で求めた解である。

第一項の複素積分は実軸の上に経路をもつので、実積分として扱える。この項は
の極限で式 (*) に一致する。左辺は留数定理より容易に計算できる。まず、複素関数
![]()
は領域
内に特異点
と
をもつ。また、(1)で求めた解より、
は
を因数にもつ。つまり、
![]()
![]()
とする。
留数定理の計算がしやすい形に
を変形する。
に対応する留数:


ちなみに分母の項はそれぞれ、図のようなベクトルに対応する。(
のときも同様)。
したがって、留数定理より、
![Rendered by QuickLaTeX.com \begin{eqnarray*}\oint_C \frac{z^2}{z^4+1} &=&2\pi i \left[Res(z_1)+Res(z_2)\right]\\&=&2\pi i \frac{1}{2\sqrt{2}} \cdot \left( \frac{1}{1+i}-\frac{1}{1-i}\right)\\&=&\frac{\sqrt{2}}{2}\pi\end{eqnarray*}](https://batapara.com/wp-content/ql-cache/quicklatex.com-134a8cc28af1a837d754e04d8045f7f0_l3.png)
式
の右辺の第2項を計算する。この積分は
の極限において0になる。なぜなら、十分大きい
に対して、
であるから。よって、
![]()
したがって、式
において
の極限をとると
![]()
なので、
![]()
である。
(3) [準備中]
2. 総評
すごい計算量!



